Skip to main content

Featured

Memory Box Clipart

Memory Box Clipart . Get ready to add some fun, whimsy and pizzazz to your creations! You can shop individual images, small themed sets or fully coordinating collections with hundreds of images and creative options (and an incredible value). Custom 32GB Swivel USB Flash Drives USB00132GB DiscountMugs from www.discountmugs.com You can shop individual images, small themed sets or fully coordinating collections with hundreds of images and creative options (and an incredible value). Dj inkers has thousands of cute clipart designs for crafting, school, home and family, church, holidays and celebrations. Get ready to add some fun, whimsy and pizzazz to your creations!

Latex Big Right Brace


Latex Big Right Brace. It allows you to start creating beautiful documents for your reports, books and papers through easy and simple tutorials. Tutorials submenu toggle 01 first document;

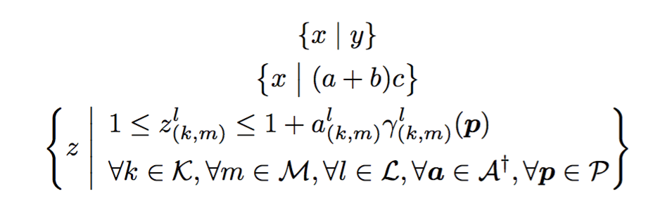
Code for generating an enumerated list to the right of a large curly
Code for generating an enumerated list to the right of a large curly from tex.stackexchange.com

It allows you to start creating beautiful documents for your reports, books and papers through easy and simple tutorials. Tutorials submenu toggle 01 first document;

Tutorials Submenu Toggle 01 First Document;


It allows you to start creating beautiful documents for your reports, books and papers through easy and simple tutorials.


Comments

Popular Posts